Color temperature of light source for electro-optical caratersitics of GENX320

Color temperature of light source for electro-optical caratersitics of GENX320

Hello,

I'm trying to measure the electro-optical caracteristics of my GENX320 sensor in the same conditions as the datasheet indicates. For the light source, the datasheet indicates :


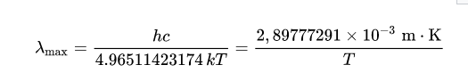
When you look at the wavelength associated to this color temperature with Wien's displacement law :

You get for a color temperature of 3000 K : 966 nm
If you look at the quantum efficiency of the sensor from the datasheet :


At that wavelength, the QE isn't at its maximum.
Why so ? Wouldn't it have been better to use a source at 5700K to be at around the QE's peak ?

I'd be curious also to know the reference of the light source that you've used ?

Cheers,

Michael

    We are currently experiencing issues with our server. Some links may be temporarily unavailable. We apologize for the inconvenience and appreciate your patience as we work to resolve the problem as quickly as possible.

    As a Prophesee customer, join the community conversation. 
    Request your free access today.

      Information

      In this Community Forum, you can discuss products, technology and applications. Only registred users can post but everyone can read. To ask a private question, enter a support ticket in My Area https://support.prophesee.ai/portal/en/newticket