High latency in generating negative events

High latency in generating negative events

Hello,
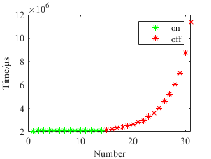
In an extremely dark environment, a laser creates a point light source on the IMX636 and moves at a constant speed. According to the imaging principle of an event-based camera, the time for the point light source to generate positive and negative events on the same pixel should be similar. However, in practice, the time taken for negative events to occur far exceeds that of positive events. Taking one pixel as an example, there were 14 positive events generated in a total of 15,143 microseconds, while 17 negative events took a total of 9,211,541 microseconds. The time taken for negative events is 600 times longer than that of positive events, as shown in the attached image. I would like to know how to ensure the basic consistency in the timing of the generation of positive and negative events in such a scenario.


    As a Prophesee customer, join the community conversation. 
    Request your free access today.

      Information

      In this Community Forum, you can discuss products, technology and applications. Only registred users can post but everyone can read. To ask a private question, enter a support ticket in My Area https://support.prophesee.ai/portal/en/newticket